- Single Mode Fibers:-
– Fiber of transverse dimension ~ wavelength, full EM wave theory.

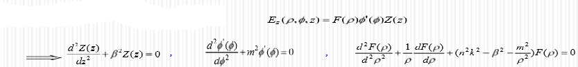
Using separation of variables for three variables: – Dielectric medium, so free charge density and current is zero. For a harmonic light wave, the electric field, in cylindrical coordinates follows :

– Combining these we can get the final solution in the form:

- By solving Maxwell equations, rest of E and H can be obtained, i.e. :

- B (beta)is called propagation constant., which can be obtained as set of solutions for given m. -To find number of modes, the normalized frequency can be defined as:

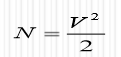
- When V is large, then the numbrof modes:

- Multimode Fibers:-
Various approximate methods possible, such as:-
– WKB method.
– Rayleigh-Ritz method.
– Power-series expansion method.
– Finite element method.
– Stair-case approximation method.
